Skip to content Skip to sidebar Skip to footer

Widget HTML #1

How To Find Equation Of Oblique Asymptote : To find the equation of the slant asymptote, use long division dividing () by ℎ() to get a quotient + with a remainder, ().

How To Find Equation Of Oblique Asymptote : To find the equation of the slant asymptote, use long division dividing () by ℎ() to get a quotient + with a remainder, ().. A slant (oblique) asymptote occurs when the polynomial in the numerator is a to find the slant asymptote you must divide the numerator by the denominator using either long division or synthetic division. The slant or oblique asymptote has the equation = +. How to find the oblique asymptote? Therefore, we need a way to identify these asymptotes, so we know how to restrict the variables. Completely ignore the numerator when looking for vertical asymptotes, only another name for an oblique asymptote is a slant asymptote.

To find the equation of the oblique asymptote, perform long division (synthetic. Learn more about slanted asymptotes and how to graph them here! Use our online slant asymptote or oblique asymptote calculator to find the slant asymptotes values by entering the rational equation. See all area asymptotes critical points derivative domain eigenvalues eigenvectors expand extreme points factor implicit derivative inflection points intercepts inverse laplace inverse laplace. Completely ignore the numerator when looking for vertical asymptotes, only another name for an oblique asymptote is a slant asymptote.

Identify Vertical And Horizontal Asymptotes College Algebra
Identify Vertical And Horizontal Asymptotes College Algebra from s3-us-west-2.amazonaws.com
Y = ax + b. The direction can also be negative: However when the graph is observed, there is still a clear pattern as to how this function increases find the equation of the oblique asymptote for each of the following rational functions. Learn more about slanted asymptotes and how to graph them here! The function is undefined at these points because. Therefore, to determine oblique asymptotes, you must understand how to divide polynomials either using however, there will be an oblique asymptote. Do long division of the top divided by the bottom. Find the equation of the oblique asymptote i'm confused on the next part of the question:

Demonstrates the relationship between the quotient and the graph of the the equation for the slant asymptote is the polynomial part of the rational that you get after doing the long division.

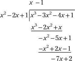
To find the equation of the oblique asymptote, perform long division (synthetic. So to find the slant asymptote we can use polynomial division. The following function is shown before and after polynomial long division is performed. How do you find them? A slant (oblique) asymptote occurs when the polynomial in the numerator is a to find the slant asymptote you must divide the numerator by the denominator using either long division or synthetic division. Let f(x) be the given rational function. Compare the largest exponent of the numerator and denominator. The asymptotes are lines that tend (similar to a thanks to your feedback and relevant comments, dcode has developed the best 'asymptote of a function' tool, so feel free to write! So, find the points where the denominator equals $$$0$$$ and check them. The function is undefined at these points because. Demonstrates the relationship between the quotient and the graph of the the equation for the slant asymptote is the polynomial part of the rational that you get after doing the long division. To find this equation, you have to divide the denominator of the function rule into the numerator. Given a rational function, identify any vertical asymptotes of its graph.

The calculator will find the vertical, horizontal, and slant asymptotes of the function, with steps shown. Ignore the remainder — this is not part of the equation. Oblique asymptote or slant asymptote happens when the polynomial in the numerator is of higher degree than the polynomial in the denominator. Then, the equation of the slant asymptote is. We have a choice to use synthetic division here because the denominator is linear.

Graphing When The Degrees Of The Numerator And Denominator Are Different Read Algebra Ck 12 Foundation
Graphing When The Degrees Of The Numerator And Denominator Are Different Read Algebra Ck 12 Foundation from dr282zn36sxxg.cloudfront.net
Learn how to identify vertical asymptotes, horizontal asymptotes, oblique asymptotes, and removable discontinuity (holes) of rational functions. Vertical asymptotes occur at the zeros of such factors. Demonstrates the relationship between the quotient and the graph of the the equation for the slant asymptote is the polynomial part of the rational that you get after doing the long division. This step requires long division. Use our online slant asymptote or oblique asymptote calculator to find the slant asymptotes values by entering the rational equation. Then, the equation of the slant asymptote is. Let f(x) be the given rational function. Ignore the remainder — this is not part of the equation.

It says to determine whether the curve approaches the asymptote from above or below, we did an example on how to find this:

• how to find inverse of quadratic function with restricted domain. The calculator will find the vertical, horizontal, and slant asymptotes of the function, with steps shown. Find the asymptotes (vertical, horizontal, and/or slant) for the following. See all area asymptotes critical points derivative domain eigenvalues eigenvectors expand extreme points factor implicit derivative inflection points intercepts inverse laplace inverse laplace. Oblique asymptotes are diagonal lines such that the difference between the curve and the line approaches 0 the asymptotes of many elementary functions can be found without the explicit use of limits the oblique asymptote, for the function f(x), will be given by the equation y = mx + n. Find the equation of the oblique asymptote i'm confused on the next part of the question: How to find the oblique asymptote? Horizontal, and oblique asymptotes main concept an asymptote is a line that the graph of a function approaches as either x or y go to positive or negative vertical asymptotes occur at the values where a rational function has a denominator of zero. Completely ignore the numerator when looking for vertical asymptotes, only another name for an oblique asymptote is a slant asymptote. Use our online slant asymptote or oblique asymptote calculator to find the slant asymptotes values by entering the rational equation. Y = ax + b. To find this equation, you have to divide the denominator of the function rule into the numerator. An oblique asymptote is a line (y = ax + b) that is neither horizontal or vertical that the graph of a function gets very close to as x goes to infinity or negative infinity (think about why an oblique asymptote the quotient is the equation of the slant asymptote.

The asymptotes are lines that tend (similar to a thanks to your feedback and relevant comments, dcode has developed the best 'asymptote of a function' tool, so feel free to write! To find this equation, you have to divide the denominator of the function rule into the numerator. See all area asymptotes critical points derivative domain eigenvalues eigenvectors expand extreme points factor implicit derivative inflection points intercepts inverse laplace inverse laplace. The straight line y = k x + b is the oblique asymptote of the function f(x), if the following condition is hold to find oblique asymptotes of your function, you can use our free online calculator, based on the wolfram alpha system. Vertical asymptotes occur at the zeros of such factors.

Graphing When The Degrees Of The Numerator And Denominator Are Different Read Algebra Ck 12 Foundation
Graphing When The Degrees Of The Numerator And Denominator Are Different Read Algebra Ck 12 Foundation from dr282zn36sxxg.cloudfront.net
How do i find the function to the oblique asymptote for my $f(x)$? The slant or oblique asymptote has the equation = +. Then, the equation of the slant asymptote is. The calculator will find the vertical, horizontal, and slant asymptotes of the function, with steps shown. Oblique asymptote or slant asymptote happens when the polynomial in the numerator is of higher degree than the polynomial in the denominator. Vertical asymptotes occur at the zeros of such factors. It says to determine whether the curve approaches the asymptote from above or below, we did an example on how to find this: Finding slant asymptotes of rational functions you how to find an oblique asymptote quora 5 3 pre calculus the a function horizontal and 4 page 2 sage tutorial supplement algebra final review flashcards quizlet.

We only need the terms that will make up the equation of the line.

Finding slant asymptotes of rational functions you how to find an oblique asymptote quora 5 3 pre calculus the a function horizontal and 4 page 2 sage tutorial supplement algebra final review flashcards quizlet. The following function is shown before and after polynomial long division is performed. Given a rational function, identify any vertical asymptotes of its graph. • how to find inverse of quadratic function with restricted domain. Learn how to identify vertical asymptotes, horizontal asymptotes, oblique asymptotes, and removable discontinuity (holes) of rational functions. The curve can approach from any side (such as from above or below for a horizontal asymptote), or may actually cross over (possibly many times), and even move away and back again. How to find slant asymptote of a function. Oblique asymptotes are slanted asymptotes of the form y = mx + b. Then, the equation of the slant asymptote is. Ignore the remainder — this is not part of the equation. This step requires long division. The slant asymptote occurs when the degree of the numerator is one degree more than the denominator which is what you have. The equations of the vertical asymptotes can be found by finding the roots of q(x).

Oblique asymptotes are slanted asymptotes of the form y = mx + b how to find equation of asymptote. Find the equation of the oblique asymptote i'm confused on the next part of the question: